电子邮箱  
密码      忘记密码?
  注册
更多内容关注公众号
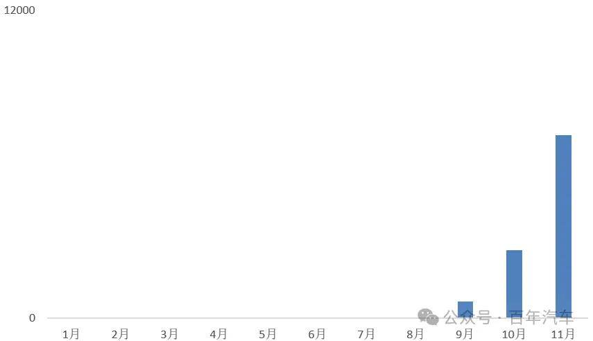
2025年11月极氪9X新能源汽车销量(上险量)规模、各省/地级市销量排名数据统计
联系电话:13699799697(微信) | 联系电话:13699799697(微信)佚名 | 发布时间: 2026-01-02 | 54 次浏览 | 🔊 点击朗读正文 ❚❚ | 分享到:


车研咨询统计了全国各省(市、区)、地级市、各车型(轿车、SUV、MPV、纯电、插混、增程式)数据(交强险数量,下同)

详细数据,联系客服

1、1-11月新能源汽车销量(交强险上险量)规模走势

2、11月新能源汽车销量(交强险上险量)全国300多地级市(州、盟)排名

3、11月新能源汽车销量(交强险上险量)31省(市、区)排名



×加入会员,享受更多优惠
×左边广告文本